Российские учёные создали инновационный метод для получения ультракоротких световых импульсов, длина которых составляет всего половину световой волны. Эти импульсы, генерируемые компактной лазерной системой, способны точечно и мгновенно воздействовать на атомы, что открывает широкие перспективы для их применения в высокопроизводительной петагерцевой электронике и квантовых вычислениях. Детали этого проекта, реализованного при поддержке гранта Российского научного фонда (РНФ), были представлены в издании Optics Letters.

Для достижения сверхбыстрой передачи данных в современных электронных системах, исследователи активно работают над методами контроля движения электронов внутри атомов и молекул посредством светового воздействия. Это требует использования световых импульсов исключительной краткости – так называемых полуцикловых или униполярных импульсов, длина которых составляет лишь половину световой волны. Такие импульсы, в частности фемтосекундные (измеряемые квадриллионными долями секунды), необходимы для точного «направления» электрона. Однако их генерация с использованием стандартных лазерных установок, излучающих многоволновые поля, крайне затруднена. Существующие специальные методики создания полуцикловых импульсов сложны и требуют масштабного лабораторного оборудования, что ограничивает их практическое применение.
Специалисты из Физико-технического института имени А. Ф. Иоффе в Санкт-Петербурге разработали инновационный подход, позволяющий преобразовывать фемтосекундные световые импульсы в ещё более короткие полуцикловые, используя при этом среду, на которую эти импульсы непосредственно воздействуют.


Согласно предложенной методике, мощный фемтосекундный лазерный импульс, состоящий из двух полуволн с противоположной полярностью (легко генерируемый современным оборудованием), направляется через газовую среду. Когда первая часть импульса достигает газа, она ионизирует его, формируя сверхтонкий плазменный слой из заряженных частиц. Вторая часть импульса, доходя до этой плазмы, мгновенно отражается и возвращается обратно.
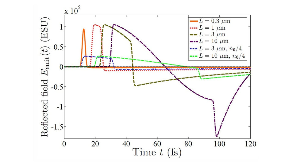
Исследователи теоретически обосновали, что изменение толщины газового слоя позволяет регулировать форму генерируемых импульсов. Так, в чрезвычайно тонких слоях образуются импульсы, напоминающие классическую параболическую полуволну. По мере увеличения толщины слоя отраженные от плазмы полуцикловые импульсы взаимодействуют друг с другом, приводя к появлению прямоугольных или трапециевидных форм.
Ростислав Архипов, доктор физико-математических наук и старший научный сотрудник ФТИ им. А. Ф. Иоффе РАН, участвующий в проекте, поддержанном РНФ, отметил: «Представленный нами метод даёт возможность генерировать отдельные полуцикловые импульсы, которые могут быть крайне полезны для высокоскоростной обработки данных в электронных цепях. Помимо этого, мы продемонстрировали, что настройка формы этих импульсов может осуществляться довольно просто — путём изменения характеристик газовой среды».
Николай Розанов, руководитель данного проекта, финансируемого РНФ, доктор физико-математических наук, академик РАН и главный научный сотрудник ФТИ им. А. Ф. Иоффе РАН, резюмировал: «Наши дальнейшие усилия будут сосредоточены на глубоком изучении методов контроля формы полуцикловых импульсов. Это исследование имеет потенциал для создания петагерцевых токовых импульсов, критически важных для развития петагерцевой электроники и сверхбыстрых оптических систем».
Ранее учёные уже демонстрировали, как ультракороткие световые импульсы могут преобразовывать оптически однородные материалы, такие как кристаллы, в своего рода «световые ловушки». Эти структуры, известные как микрорезонаторы, находят применение в различных областях, включая лазерные системы, сенсоры и фотопоглотители.





