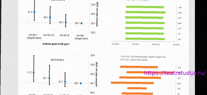
Может ли непостоянный график сна нанести вред вашему сердцу? Согласно новым данным, нестабильное время отхода ко сну связано с двукратным увеличением вероятности сердечно-сосудистых событий. Узнайте, почему ваше «окно сна» (т.е. время, когда вы ложитесь спать) является важным показателем здоровья сердца и играет ключевую роль в профилактике заболеваний.








